IB课程难度还是比较高的,像是IB数学课程的话也是同学们最常需要辅导的课程,IB数学分为IB数学:分析与方法和IB数学:应用和解释,两个课程学习内容也是偏向不同,在备考阶段最重要的就是刷题,所以小编今天就为大家带来IB数学考试题目详细讲解,希望对大家在学习的过程中可以提供到帮助。同时有需要进行IB数学辅导的同学也欢迎随时在线联系克拉国际教育哦。
一、IB数学课程内容
基础课程就是两个课程都需要进行学习的内容,剩下的每个课程里面会有单独的学习内容。
基础课程:一次函数,二次函数,概率,统计,函数变形,数列,三角函数,平面和立体几何。
IB数学:应用和解释:正反闭函数,复数,对指数函数,二项分布,正态分布,图论,矩阵,向量,微分,积分,置信区间,微分方程,假设检验
IB数学:分析与方法:极限,微分,向量,对指数,双变量统计,三角函数,麦克劳林级数,证明,离散和连续随机变量,二项式定理,微分方程
二、IB数学考试内容
IB数学:应用和解释
Paper1:简答题试卷,SL考试时间1.5小时,成绩比例为40%,HL考试时间2小时,成绩比例为30%。
Paper2:结构化试卷,SL考试时间1.5小时,成绩比例为40%,HL考试时间2小时,成绩比例为30%。
Paper3:回答2个问题,HL考试时间1小时,成绩比例为20%。
IB数学:分析与方法
Paper1:分为section A简答题和section B长问答题,SL考试时间1.5小时,成绩比例为40%,HL考试时间2小时,成绩比例为30%。
Paper2:分为section A简答题和section B长问答题,SL考试时间1.5小时,成绩比例为40%,HL考试时间2小时,成绩比例为30%。
Paper3:回答2个问题,HL考试时间1小时,成绩比例为20%。
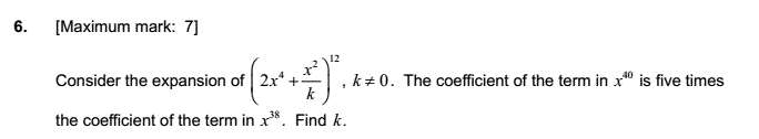
三、IB数学考试题目讲解




以上就是为大家整理的IB数学考试题目的相关资讯,希望对大家在日常的学习生活中可以提供到帮助,如果大家在学的过程中遇到问题的哈一定要及时地进行解决,一些知识难点可以在网上看一些解析视频,必要的话找到专业机构进行辅导也是非常有必要的。
小克学长cue您,定期分享国际竞赛、国际课程、留学动态、国际院校等相关资讯,与学弟学妹们破釜沉舟,携手并进,助力学弟学妹们成功拿到世界名校offer
小克学长智囊-国际教育专业顾问-在线答疑
关于国际教育任何资讯了解,留学前,背景提升、课程培训等相关疑问均可以在线咨询小克学长智囊,也可以搜索“网址https://www.szxxdjy.com/
关注微信公众号:”克拉教育背景提升”陪您一起了解。