A-Level课程是英国的高中课程,现在克拉国际教育国内也有很多学习A-Level课程的学生,A-Level课程为学生们提供了七十几门科目,其中数学是大部分学生都会选的一门,一些数学成绩比较好的学生也会选择进阶数学,不过A-Level进阶数学的难度还是比较大的。
最近也有不少来咨询A-Level进阶数学的学生,克拉国际教育考而思?惟世教育也是有针对A-Level进阶数学辅导的,大家有需要的话,可以直接联系克拉国际教育的在线老师哦,临近考试了,下面为大家总结一下A-Level进阶数学的考试内容。
一、ALevel进阶数学考试内容
Paper 1: Further Pure Mathematics 1
1.1 Roots of polynomial equations:多项式方程的根
1.2 Rational functions and graphs:有理函数和图
1.3 Summation of series:级数求和
1.4 Matrices:矩阵
1.5 Polar coordinates:极坐标
1.6 Vectors:向量
1.7 Proof by induction:归纳证明
Paper 2:Further Pure Mathematics 2
2.1 Hyperbolic functions:双曲函数
2.2 Matrices:矩阵
2.3 Differentiation:微分
2.4 Integration:积分
2.5 Complex numbers:复数
2.6 Differential equations:微分方程
Paper 3:Further Mechanics
3.1 Motion of a projectile:射弹的运动
3.2 Equilibrium of a rigid body:刚体的平衡
3.3 Circular motion:圆周运动
3.4 Hooke's law:胡克定律
3.5 Linear motion under a variable force:可变力作用下的线性运动
3.6 Momentum:动力
Paper 4:Further Probability & Statistics
4.1 Continuous random variables:连续随机变量
4.2 Inference using normal and t-distributions:使用正态分布和t分布
4.3 x2-tests:x2检验的推断
4.4 Non-parametric tests:非参数测试
4.5 Probability generating functions:概率生成函数
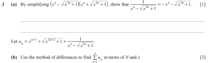
二、ALevel进阶数学考试真题

![]()

以上就是有关A-Level进阶数学考试内容的总结,距离A-Level大考还有三个月的时间,大家可要抓紧复习喽,如果大家学起来有困难,有需要A-Level进阶数学辅导的同学,也可以联系克拉国际教育哦,克拉国际教育有很多专业的老师的哦~
小克学长cue您,定期分享国际竞赛、国际课程、留学动态、国际院校等相关资讯,与学弟学妹们破釜沉舟,携手并进,助力学弟学妹们成功拿到世界名校offer
小克学长智囊-国际教育专业顾问-在线答疑
关于国际教育任何资讯了解,留学前,背景提升、课程培训等相关疑问均可以在线咨询小克学长智囊,也可以搜索“网址https://www.szxxdjy.com/
关注微信公众号:”克拉教育背景提升”陪您一起了解。