a-level数学相当于一门必修课程,其中a-level数学课程中又涵盖了相当多的知识点,最近也有学生提问a-level数学p1知识点有哪些?掌握了知识点也是拿到高分的关键,今天小编就为大家来详细介绍一下a-level数学p1知识点,同时克拉国际教育也为大家开设了a-level数学辅导课程,感兴趣的同学欢迎随时在线联系克拉国际教育哦~
一、a-level数学P1知识点

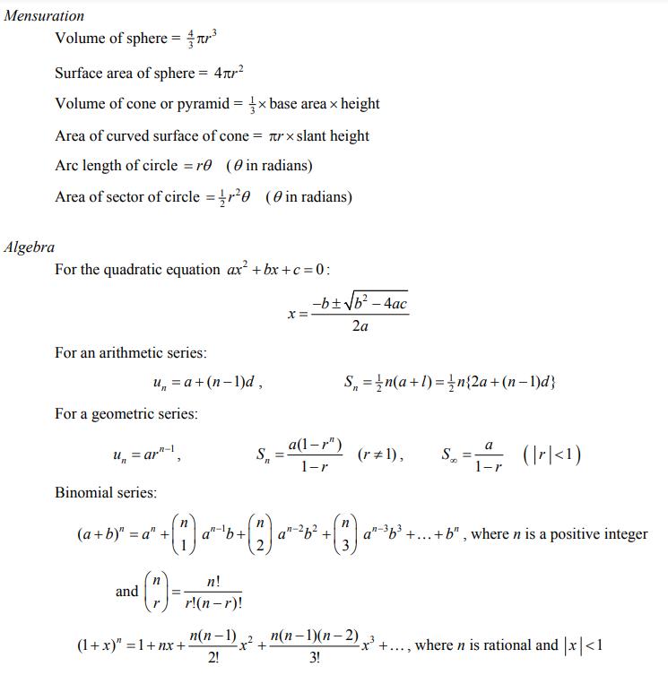
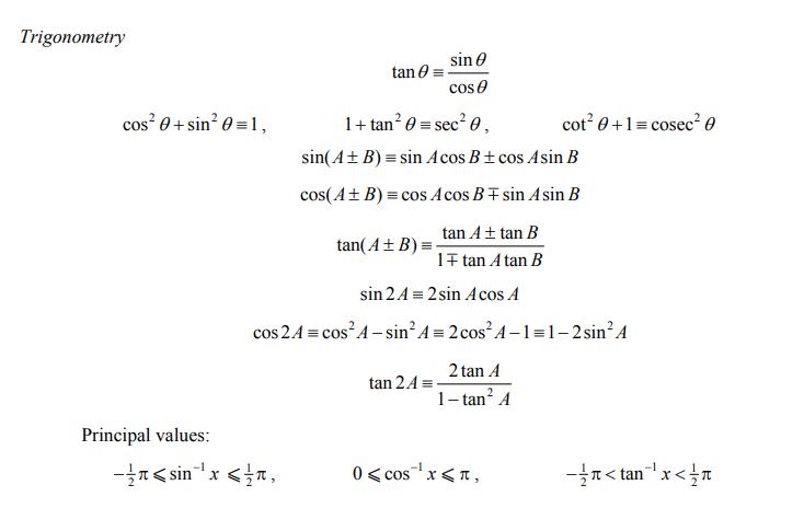
二、a-level数学P1公式




? ? ? ?三、a-level数学学习方法
1、课后习题+考前模拟
在学习完每一章的内容之后,大家可以做相应的习题来进行巩固,这样的话可以及时的查漏补缺。针对于自己不太熟悉的陌生的知识点进行及时的学习和补充。考前模拟的话,就是提前熟悉一下考试题型,a-level数学想要学好,最重要的一点就是不断的练习,在练习中巩固对知识点的掌握,找到解题技巧和做题思维,只有这样才能在考试中拿到高分。
2、利用课外资源
在网上会有其他同学或者老师分享的解题思路、做题技巧,包括一些知识点的精讲,大家都可以参考一下,作为学习的额外补充。大家也可以自己自行购买一些习题集来进行练习。课本上有一些知识点解释的不够全面,大家也可以参考一些其他的正规的教辅书籍。主要目的就是为了让大家知识点掌握的更加全面和充分。
以上就是为大家整理的a-level数学P1知识点,希望对大家可以提供到帮助。想要a-level数学拿到高分的话。对于知识点的掌握,课外习题的演练以及自身的努力,这三点是缺一不可的。最后,希望大家都可以在考试中取得自己理想的成绩。
小克学长cue您,定期分享国际竞赛、国际课程、留学动态、国际院校等相关资讯,与学弟学妹们破釜沉舟,携手并进,助力学弟学妹们成功拿到世界名校offer
小克学长智囊-国际教育专业顾问-在线答疑
关于国际教育任何资讯了解,留学前,背景提升、课程培训等相关疑问均可以在线咨询小克学长智囊,也可以搜索“网址https://www.szxxdjy.com/
关注微信公众号:”克拉教育背景提升”陪您一起了解。